服务热线
021-3190-8042
地址:上海市嘉定区宝翔路998弄188-903
手机:17898860480(同微信)
电话:021-31908042
邮箱:sales@bioswete.com
时间: 2022-12-01
浏览量: 407
简介
平衡透析是研究分子间相互作用的一种简单而有效的工具。无论是在血清结合试验中对候选药物进行表征,还是对抗原-抗体相互作用的研究,平衡透析都被证明是目前*准确的方法。平衡透析成本低且易于操作,*需要的是有用于量化目标化合物的仪器。由于测定结果是在平衡条件下获得的,因此可以研究相互作用的真实本质。平衡透析还提供了其他研究方法无法检测到的低亲和力相互作用研究的能力。
本概述介绍了平衡透析技术的原理,以及该技术如何在实际应用中使用的一些案例。还介绍了用于从这些类型的实验中提取结果的数据分析方法的类型。哈佛仪器提供的各种平衡透析产品的详细信息可以相关销售人员获取。
方案
在标准平衡透析分析中,首先用透析膜隔开两个腔室。选择膜的截留分子量(MWCO),使其截留样品的受体成分(可结合配体的成分)。
将已知浓度和体积的配体放入其中一个腔室中。配体足够小,可以自由地穿过透析膜。
然后将已知浓度的受体样品以与*个腔室相同的体积放入保留腔中。
当配体在膜上扩散时,一些配体会与受体结合,而另一些会在溶液中保留。相互作用的亲和力越高,此时被结合的配体浓度也就越高。

配体在膜上的扩散和配体的结合会一直持续,直到达到平衡。在平衡状态下,溶液中游离配体的浓度在两个腔室中是相同的。然而,在受体腔中,由于结合了配体,总体浓度会更高。
然后,配体室中游离配体的浓度可用于确定样品的结合特性,如下一节所述。
数据分析
平衡透析可用于各种各样的实验,用于分析结果数据的方法也多种多样。本节介绍了用于解释使用平衡透析生成的实验数据的数据分析工具模型。
通常使用平衡透析进行的分析模型属于饱和结合实验的范畴。在这种情况下,测量各种浓度的受体和配体的平衡结合度。然后利用结合与配体浓度之间的关系来确定结合位点的数量Bmax和配体亲和度kd。由于这类实验数据是用Scatchard来分析的,所以有时被称为“Scatchard实验”。
配体结合数据分析
配体结合实验的分析基于一个简单的模型,称为质量作用定律。这个模型假设结合是可逆的。
当配体和受体由于扩散而发生碰撞时,当碰撞具有正确的方向和足够的能量时,就会发生结合。结合速率为:
[ ]表示浓度
结合速率常数(kon)以M-1min-1为单位表示。一旦结合发生,配体和受体在随机的时间内保持结合在一起。解离的概率在每一个瞬间都是相同的。受体并不“知道”自己与配体结合了多长时间。解离的速率是:
解离常数koff以min-1为单位表示。解离后,配体和受体与结合前相同。如果配体或受体中的任何一方被化学修饰,那么这种结合就不遵循质量作用定律。当新的配体-受体复合物形成的速率等于配体-受体复合物解离的速率时,就达到平衡。平衡公式为:
重新排列这个方程式来定义平衡解离常数kd。定义平衡解离常数,kd等于koff/kon,单位是摩尔。在酶动力学中,这被称为Michaelis-Menten常数,KM。
Kd是一个很容易理解的常数。设[配体]等于上式中的kd。kd项约掉,则[受体]/[配体•受体]=1,所以[受体]等于[配体•受体]。由于所有的受体要么是游离的,要么是与配体结合的,这意味着一半的受体是游离的,一半是与配体结合的。也就是说,当配体的浓度等于kd时,会有一半的受体在平衡状态下被占用。如果受体对配体有很高的亲和力,那么kd就会很低,因为只有低浓度的配体才能结合一半的受体。
不要把平衡解离常数kd和解离速率常数koff搞混了。它们是不一样的,甚至不是用相同的单位来表示的。
部分占用是指所有受体与配体结合的比例。

这个方程可以更清楚地表示为:
这个方程假设处于平衡状态。为了理解它,考虑一下[配体]的几个不同值。
这在图形形式中变得更加清晰。
注意,当[配体]=kd时,分数占比为50%。
虽然被称为“定律”,但质量作用定律只是一个模型,可以用来解释一些实验数据。因为它太简单了,所以这个模型并不适用于所有的情况。该模型假设:
-所有受体对配体的可接受性都是平等的。
-受体要么是游离的,要么与配体结合。它不允许有一种以上的亲和力状态,或部分结合状态。
-结合不会改变配体或受体。
-结合是可逆的。
尽管它很简单,但质量作用定律已被证明在描述受体药理学和生理学等许多方面是非常有用的。
线性回归
线性回归:介绍
在广泛使用非线性回归模型出现之前(如Graphpad Prism®),科学家将数据转换成线性形式,然后通过线性回归对数据进行分析。
线性回归分析的是两个变量X和Y之间的关系,对于每个受试者(或实验单元),我们都知道X和Y,再通过数据找到*的线性。在某些情况下,斜率和/或截距具有科学意义。在其他情况下,我们可以使用线性回归线作为标准曲线,从Y中找到X的新值,或者从X中找到Y的新值。一般来说,线性回归的目标是找到*能从X中预测Y的线性。线性回归通过找到使点与直线垂直距离的平方和*小的直线来实现这一点。
线性回归:Scatchard图
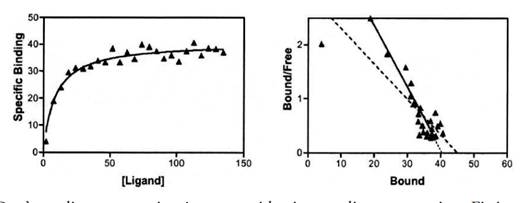
有几种方法可以对结合的数据进行线性化,包括Lineweaver-Burke和edie - hofstee的方法。然而,线性化结合数据*常用的方法是创建Scatchard图,如下面的右面所示。
在这个图中,x轴是特异性结合,y轴是特异性结合除以游离配体浓度。可以从Scatchard图中估算Bmax和kd (Bmax是X截距;Kd是斜率的负倒数)。然而,Scatchard的变换扭曲了实验误差,从而违背了线性回归的几个假设。通过Scatchard转换数据的线性回归确定的Bmax和kd值可能与它们的真实值相差甚远。
线性回归:分析
这种方法的问题在于变换会扭曲实验误差。线性回归假设直线周围的点的散点遵循高斯分布,并且x的每个值的标准差都是相同的,这些假设在转换数据后很少成立。此外,一些变换改变了X和Y之间的关系。例如,在Scatchard图中,使用X(结合)的值来计算Y(结合/游离),这违反了线性回归的假设,即所有不确定性都在Y中,而X是*已知的。如果在X和Y两个方向上都出现相同的实验误差,那么*小化点与直线垂直距离的平方和是没有意义的。由于线性回归的假设是违反的,因此由回归线的斜率和截距得出的值并不是对模型中变量的*准确的确定。考虑到在收集数据上投入的所有时间和精力,我们希望使用*的技术来分析数据,然而非线性回归产生的结果*准确。
下图显示了数据转换的问题。左边显示了遵循矩形双曲线(结合等温线)的数据。右边是相同数据的Scatchard图。左边的实线曲线是由非线性回归确定的。右边的实线显示了同样的曲线经过Scatchard变换后的样子。虚线表示转换后数据的线性回归拟合。Scatchard图可用于确定受体数(Bmax,作为线性回归线的x截距)和解离常数(kd,作为斜率的负倒数)。由于Scatchard变换放大和扭曲了散点,线性回归拟合不能产生*准确的Bmax和kd值。

不要仅仅为了避免使用非线性回归而使用线性回归。使用Graphpad Prism®等软件程序时,用非线性回归拟合曲线并不难。虽然通常不适合分析变换后的数据,但在线性变换后显示数据往往是有帮助的,很多人发现直观地解释转换后的数据更容易。即使我们用非线性回归分析数据,显示线性变换的结果可能是有意义的。
非线性回归
非线性回归:介绍
线性回归在每一本统计学书籍中都有描述,并且每个统计程序都执行线性回归。非线性回归只在少数几本书中提到,并不是所有的统计程序都执行。从数学家的角度来看,这两种程序有很大的不同。然而,从科学家的角度来看,这两种过程是非常相似的。在许多科学领域,非线性回归的使用远远多于线性回归。一条直线是用一个简单的方程来描述的,这个方程从X、斜率和截距计算Y。线性回归的目的是找到斜率和截距的值,这些值定义了*接近数据的直线。更准确地说,它找到的是使点到直线的垂直距离平方和*小的直线。用来做这件事的方程,只用高中代数就能推导出来(在很多统计学书籍中都有展示)。把数据放进去,答案就出来了。没有模棱两可的机会。如果你愿意,你甚至可以手工计算。
非线性回归比线性回归更通用。它将数据拟合到任何将Y定义为X和一个或多个参数的函数的方程中。它找到那些参数的值,生成*接近数据的曲线。更准确地说,非线性回归找到生成曲线的参数值,该曲线使数据点与曲线的垂直距离的平方和*小化。
除了少数特殊情况外,不可能直接从数据中推导出一个方程来计算*拟合值。相反,非线性回归需要一种计算密集的迭代方法。除非你熟悉矩阵代数,否则无法真正理解非线性回归。但这些复杂性只与执行计算有关,这些计算可以通过非线性回归软件(Graphpad Prism®)轻松完成。使用非线性回归分析数据只比使用线性回归稍微困难一点。选择线性回归还是非线性回归,应该基于拟合的模型。无需为了避免使用非线性回归而使用线性回归。
非线性回归:平方和
非线性回归的目标是调整模型中变量的值,以找到*能从x预测Y的曲线。更准确地说,回归的目标是*小化点与曲线的垂直距离的平方和。为什么要*小化这些距离的平方
和?为什么不简单地*小化实际距离的和呢?如果随机散点遵循高斯分布,则更有可能出现两个中等大小的偏差(例如每个偏差5个单位),而不是一个小偏差(1个单位)和一个大偏差(9个单位)。对距离*值之和进行*小化的过程,对于两点距离5个单位、一点距离1个单位、另一点距离9个单位的曲线来说,不会有任何偏好。在每种情况下,距离的和(更准确地说,是距离*值的和)都是10个单位。*小化距离平方和的过程更倾向于两个点之间的距离为5个单位(平方和= 25),而不是一个点之间的距离为1个单位,另
一个点之间的距离为9个单位(平方和= 81)。如果散点是高斯(或接近高斯分布),则通过*小化平方和确定的曲线*有可能是正确的。
非线性回归:分析
虽然非线性回归的数学细节相当复杂,但其基本思想很容易理解。每一种非线性回归方法都遵循以下步骤:
1. 从方程中每个变量的初始估计值开始。
2. 生成由初始值定义的曲线。计算平方和(点到曲线的垂直距离的平方和)。
3. 调整变量,使曲线更接近数据点。有几种算法可以调整变量,如下所述。
4. 再次调整变量,使曲线更接近点,重复。
5. 当调整对平方和几乎没有影响时,停止计算。
6. 报告*合适的结果。您获得的*值将部分取决于步骤1中选择的初始值和步骤5的停止标准。这意味着对相同数据的重复分析并不总是会给出完全相同的结果。
第三步是*困难的一步。Prism(以及大多数其他非线性回归程序)使用的是Marquardt and Levenberg的方法,它结合了另外两种方法,线性下降法和高斯-牛顿法。
理解这些方法的*方法是跟随一个例子,这里有一些数据要拟合到一个典型的结合曲线(矩形双曲线)。
假如拟合一条结合曲线,用下面的公式来确定Bmax和kd:
如何找到*适合数据的Bmax和kd值?可以通过改变Bmax和kd来生成无数条曲线。对于每一条生成的曲线,都可以计算平方和来评估该曲线与数据的拟合程度。下图说明了这种情况:

X轴和y轴对应两个变量,用非线性拟合回归(本例中的Bmax和kd)。z轴是平方和。曲面上的每个点对应一条可能的曲线。非线性回归的目标是找到Bmax和kd的值,使平方和尽可能小(找到山谷的底部)。线性下降的方法遵循一个非常简单的策略,从初始值开始,尝试将每个参数增加少量。如果平方和下降,继续。如果平方和上升,则返回并减小参数的值,再重复多次,每一步通常都会减少平方和。如果平方和反而上升,那么这一步一定太大了,越过了底部,又回到了另一边。如果发生这种情况,就往回走,走小一点的一步。重复这些步骤很多次之后,就会到达底部。
高斯-牛顿法有点难理解。与线性下降法一样,首先计算当对每个参数的值做一个小的改变时,平方和的变化有多大。这就告诉我们平方和曲面在初始值所定义的点处的斜率。如果方程确实是线性的,那么这些信息就足以确定整个平方和曲面的形状,从而在一步中计算出Bmax和kd的*拟合值。对于线性方程,知道某一点的斜率就能告诉我们需要知道的关于曲面的所有信息,一步就能找到*小值。对于非线性方程,高斯-牛顿法不能在一步中找到*拟合值,但这一步通常可以改善拟合。在重复多次迭代之后,就会到达底部。这种线性下降的方法往往对早期的迭代效果很好,但当它接近*拟合值时(而且表面几乎是平坦的),效果就会变慢。相比之下,高斯-牛顿方法在早期迭代中往往工作得不好,但在后期迭代中工作得很好。这两种方法混合在Marquardt方法中(也称为Levenberg-Marquardt方法)。它在早期迭代中使用线性下降方法,然后逐渐切换到高斯-牛顿方法。GraphpadPrism®,像大多数程序一样,使用Marquardt方法来执行非线性回归。
案例
下面的例子是对配体结合实验数据的一种可能的分析方法。在本实验中,允许1ml的50,000 Da Protein (5.0 mg/ml)样品与1ml体积的几种浓度的配体溶液达到平衡。实验中使用的配体溶液浓度如下表所示([配体]total)。
一旦达到平衡,测量自由游离配体的浓度([配体] 游离),并确定结合配体的浓度([配体]结合)。这个例子的实验结果如上表所示。
在实验的这一阶段,必须决定如何分析实验数据。在这种情况下,我们将绘制数据的结合等温线,使用非线性回归找到该数据的*拟合线(从而确定Bmax和Kd)。为了便于视觉解释,我们将对所得的*拟合线数据执行Scatchard变换。
生成该数据的结合等温线包括在x轴上绘制以毫摩尔为单位的配体浓度([配体]游离)与y轴上的结合系数(B)。结合系数由式给出:
每种情况下的蛋白质浓度都是一样的,0.1 mmol。

然后我们使用非线性回归(Graphpad Prism®)来找到数据的*拟合线。
这就可以绘制出来:
在使用Prism等软件包时,Bmax和Kd是自动确定的。当这个工具不可用时,可以从
Scatchard图中确定这些值,尽管这将不太准确(如线性回归部分所讨论的)。从非线性回
归得到的数据可以通过Scatchard变换生成线性图。
直线方程为:
因此,Kd可以确定为直线斜率的负倒数,Bmax由x截距给出。
本例Kd为0.086 mmol (8.6 × 10-5M), Bmax为0.864。